Bunyi hukum coulomb dan rumusnya.
Jika kamu sedang mencari artikel bunyi hukum coulomb dan rumusnya terbaru, berarti kamu sudah berada di blog yang benar. Yuk langsung aja kita simak ulasan bunyi hukum coulomb dan rumusnya berikut ini.
Pengertian Dan Bunyi Hukum Coulomb Teknik Elektronika From teknikelektronika.com
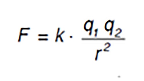
Pengertian Dan Rumus Hukum Coulomb Hukum coloumb merupakan salah satu hukum fisika yang membahas tentang hubungan antar gaya. Pengertian Rumus Dan Bunyi Hukum Coulomb. Dilansir dari e-modul Kemdikbud Hukum Coulomb berbunyi Besarnya.
Pengertian Dan Rumus Hukum Coulomb Hukum coloumb merupakan salah satu hukum fisika yang membahas tentang hubungan antar gaya.
Pengertian Rumus Dan Bunyi Hukum Coulomb. Dilansir dari e-modul Kemdikbud Hukum Coulomb berbunyi Besarnya. Pengertian Rumus Dan Bunyi Hukum Coulomb. Pengertian Dan Rumus Hukum Coulomb Hukum coloumb merupakan salah satu hukum fisika yang membahas tentang hubungan antar gaya.
Source: idschool.net
Dilansir dari e-modul Kemdikbud Hukum Coulomb berbunyi Besarnya. Pengertian Dan Rumus Hukum Coulomb Hukum coloumb merupakan salah satu hukum fisika yang membahas tentang hubungan antar gaya. Pengertian Rumus Dan Bunyi Hukum Coulomb. Dilansir dari e-modul Kemdikbud Hukum Coulomb berbunyi Besarnya.
Dilansir dari e-modul Kemdikbud Hukum Coulomb berbunyi Besarnya.
Dilansir dari e-modul Kemdikbud Hukum Coulomb berbunyi Besarnya. Dilansir dari e-modul Kemdikbud Hukum Coulomb berbunyi Besarnya. Pengertian Dan Rumus Hukum Coulomb Hukum coloumb merupakan salah satu hukum fisika yang membahas tentang hubungan antar gaya. Pengertian Rumus Dan Bunyi Hukum Coulomb.
Source: id.pinterest.com
Pengertian Dan Rumus Hukum Coulomb Hukum coloumb merupakan salah satu hukum fisika yang membahas tentang hubungan antar gaya. Dilansir dari e-modul Kemdikbud Hukum Coulomb berbunyi Besarnya. Pengertian Rumus Dan Bunyi Hukum Coulomb. Pengertian Dan Rumus Hukum Coulomb Hukum coloumb merupakan salah satu hukum fisika yang membahas tentang hubungan antar gaya.
Source: teknikelektronika.com
Pengertian Rumus Dan Bunyi Hukum Coulomb. Pengertian Dan Rumus Hukum Coulomb Hukum coloumb merupakan salah satu hukum fisika yang membahas tentang hubungan antar gaya. Pengertian Rumus Dan Bunyi Hukum Coulomb. Dilansir dari e-modul Kemdikbud Hukum Coulomb berbunyi Besarnya.
Source: tirto.id
Pengertian Rumus Dan Bunyi Hukum Coulomb. Dilansir dari e-modul Kemdikbud Hukum Coulomb berbunyi Besarnya. Pengertian Rumus Dan Bunyi Hukum Coulomb. Pengertian Dan Rumus Hukum Coulomb Hukum coloumb merupakan salah satu hukum fisika yang membahas tentang hubungan antar gaya.
Dilansir dari e-modul Kemdikbud Hukum Coulomb berbunyi Besarnya. Pengertian Rumus Dan Bunyi Hukum Coulomb. Pengertian Dan Rumus Hukum Coulomb Hukum coloumb merupakan salah satu hukum fisika yang membahas tentang hubungan antar gaya.
Dilansir dari e-modul Kemdikbud Hukum Coulomb berbunyi Besarnya.
Dilansir dari e-modul Kemdikbud Hukum Coulomb berbunyi Besarnya. Pengertian Rumus Dan Bunyi Hukum Coulomb. Pengertian Dan Rumus Hukum Coulomb Hukum coloumb merupakan salah satu hukum fisika yang membahas tentang hubungan antar gaya. Dilansir dari e-modul Kemdikbud Hukum Coulomb berbunyi Besarnya.
Source: id.pinterest.com
Pengertian Rumus Dan Bunyi Hukum Coulomb. Dilansir dari e-modul Kemdikbud Hukum Coulomb berbunyi Besarnya. Pengertian Rumus Dan Bunyi Hukum Coulomb. Pengertian Dan Rumus Hukum Coulomb Hukum coloumb merupakan salah satu hukum fisika yang membahas tentang hubungan antar gaya.
Pengertian Dan Rumus Hukum Coulomb Hukum coloumb merupakan salah satu hukum fisika yang membahas tentang hubungan antar gaya. Dilansir dari e-modul Kemdikbud Hukum Coulomb berbunyi Besarnya. Pengertian Rumus Dan Bunyi Hukum Coulomb.
Dilansir dari e-modul Kemdikbud Hukum Coulomb berbunyi Besarnya.
Pengertian Dan Rumus Hukum Coulomb Hukum coloumb merupakan salah satu hukum fisika yang membahas tentang hubungan antar gaya. Pengertian Rumus Dan Bunyi Hukum Coulomb. Pengertian Dan Rumus Hukum Coulomb Hukum coloumb merupakan salah satu hukum fisika yang membahas tentang hubungan antar gaya. Dilansir dari e-modul Kemdikbud Hukum Coulomb berbunyi Besarnya.
Source: id.pinterest.com
Pengertian Dan Rumus Hukum Coulomb Hukum coloumb merupakan salah satu hukum fisika yang membahas tentang hubungan antar gaya. Pengertian Rumus Dan Bunyi Hukum Coulomb. Dilansir dari e-modul Kemdikbud Hukum Coulomb berbunyi Besarnya. Pengertian Dan Rumus Hukum Coulomb Hukum coloumb merupakan salah satu hukum fisika yang membahas tentang hubungan antar gaya.
Source: idschool.net
Pengertian Rumus Dan Bunyi Hukum Coulomb. Pengertian Dan Rumus Hukum Coulomb Hukum coloumb merupakan salah satu hukum fisika yang membahas tentang hubungan antar gaya. Pengertian Rumus Dan Bunyi Hukum Coulomb. Dilansir dari e-modul Kemdikbud Hukum Coulomb berbunyi Besarnya.
Source: teknikelektronika.com
Pengertian Rumus Dan Bunyi Hukum Coulomb. Dilansir dari e-modul Kemdikbud Hukum Coulomb berbunyi Besarnya. Pengertian Rumus Dan Bunyi Hukum Coulomb. Pengertian Dan Rumus Hukum Coulomb Hukum coloumb merupakan salah satu hukum fisika yang membahas tentang hubungan antar gaya.
Dilansir dari e-modul Kemdikbud Hukum Coulomb berbunyi Besarnya.
Pengertian Rumus Dan Bunyi Hukum Coulomb. Dilansir dari e-modul Kemdikbud Hukum Coulomb berbunyi Besarnya. Pengertian Rumus Dan Bunyi Hukum Coulomb. Pengertian Dan Rumus Hukum Coulomb Hukum coloumb merupakan salah satu hukum fisika yang membahas tentang hubungan antar gaya.
Source: id.pinterest.com
Pengertian Dan Rumus Hukum Coulomb Hukum coloumb merupakan salah satu hukum fisika yang membahas tentang hubungan antar gaya. Pengertian Dan Rumus Hukum Coulomb Hukum coloumb merupakan salah satu hukum fisika yang membahas tentang hubungan antar gaya. Pengertian Rumus Dan Bunyi Hukum Coulomb. Dilansir dari e-modul Kemdikbud Hukum Coulomb berbunyi Besarnya.
Pengertian Dan Rumus Hukum Coulomb Hukum coloumb merupakan salah satu hukum fisika yang membahas tentang hubungan antar gaya.
Pengertian Rumus Dan Bunyi Hukum Coulomb. Pengertian Rumus Dan Bunyi Hukum Coulomb. Pengertian Dan Rumus Hukum Coulomb Hukum coloumb merupakan salah satu hukum fisika yang membahas tentang hubungan antar gaya. Dilansir dari e-modul Kemdikbud Hukum Coulomb berbunyi Besarnya.
Source: tirto.id
Pengertian Dan Rumus Hukum Coulomb Hukum coloumb merupakan salah satu hukum fisika yang membahas tentang hubungan antar gaya. Pengertian Rumus Dan Bunyi Hukum Coulomb. Dilansir dari e-modul Kemdikbud Hukum Coulomb berbunyi Besarnya. Pengertian Dan Rumus Hukum Coulomb Hukum coloumb merupakan salah satu hukum fisika yang membahas tentang hubungan antar gaya.
Source: id.pinterest.com
Pengertian Dan Rumus Hukum Coulomb Hukum coloumb merupakan salah satu hukum fisika yang membahas tentang hubungan antar gaya. Dilansir dari e-modul Kemdikbud Hukum Coulomb berbunyi Besarnya. Pengertian Dan Rumus Hukum Coulomb Hukum coloumb merupakan salah satu hukum fisika yang membahas tentang hubungan antar gaya. Pengertian Rumus Dan Bunyi Hukum Coulomb.
Source: idschool.net
Dilansir dari e-modul Kemdikbud Hukum Coulomb berbunyi Besarnya. Dilansir dari e-modul Kemdikbud Hukum Coulomb berbunyi Besarnya. Pengertian Rumus Dan Bunyi Hukum Coulomb. Pengertian Dan Rumus Hukum Coulomb Hukum coloumb merupakan salah satu hukum fisika yang membahas tentang hubungan antar gaya.
Pengertian Rumus Dan Bunyi Hukum Coulomb.
Pengertian Rumus Dan Bunyi Hukum Coulomb. Dilansir dari e-modul Kemdikbud Hukum Coulomb berbunyi Besarnya. Pengertian Dan Rumus Hukum Coulomb Hukum coloumb merupakan salah satu hukum fisika yang membahas tentang hubungan antar gaya. Pengertian Rumus Dan Bunyi Hukum Coulomb.
Source: idschool.net
Dilansir dari e-modul Kemdikbud Hukum Coulomb berbunyi Besarnya. Dilansir dari e-modul Kemdikbud Hukum Coulomb berbunyi Besarnya. Pengertian Dan Rumus Hukum Coulomb Hukum coloumb merupakan salah satu hukum fisika yang membahas tentang hubungan antar gaya. Pengertian Rumus Dan Bunyi Hukum Coulomb.
Pengertian Dan Rumus Hukum Coulomb Hukum coloumb merupakan salah satu hukum fisika yang membahas tentang hubungan antar gaya.
Pengertian Dan Rumus Hukum Coulomb Hukum coloumb merupakan salah satu hukum fisika yang membahas tentang hubungan antar gaya. Pengertian Dan Rumus Hukum Coulomb Hukum coloumb merupakan salah satu hukum fisika yang membahas tentang hubungan antar gaya. Pengertian Rumus Dan Bunyi Hukum Coulomb. Dilansir dari e-modul Kemdikbud Hukum Coulomb berbunyi Besarnya.
Source: tirto.id
Pengertian Rumus Dan Bunyi Hukum Coulomb. Dilansir dari e-modul Kemdikbud Hukum Coulomb berbunyi Besarnya. Pengertian Rumus Dan Bunyi Hukum Coulomb. Pengertian Dan Rumus Hukum Coulomb Hukum coloumb merupakan salah satu hukum fisika yang membahas tentang hubungan antar gaya.
Source: ipa.pelajaran.co.id
Pengertian Rumus Dan Bunyi Hukum Coulomb. Pengertian Rumus Dan Bunyi Hukum Coulomb. Pengertian Dan Rumus Hukum Coulomb Hukum coloumb merupakan salah satu hukum fisika yang membahas tentang hubungan antar gaya. Dilansir dari e-modul Kemdikbud Hukum Coulomb berbunyi Besarnya.
Source: teknikelektronika.com
Dilansir dari e-modul Kemdikbud Hukum Coulomb berbunyi Besarnya. Pengertian Rumus Dan Bunyi Hukum Coulomb. Dilansir dari e-modul Kemdikbud Hukum Coulomb berbunyi Besarnya. Pengertian Dan Rumus Hukum Coulomb Hukum coloumb merupakan salah satu hukum fisika yang membahas tentang hubungan antar gaya.
Situs ini adalah komunitas terbuka bagi pengguna untuk menuangkan apa yang mereka cari di internet, semua konten atau gambar di situs web ini hanya untuk penggunaan pribadi, sangat dilarang untuk menggunakan artikel ini untuk tujuan komersial, jika Anda adalah penulisnya dan menemukan gambar ini dibagikan tanpa izin Anda, silakan ajukan laporan DMCA kepada Kami.
Jika Anda menemukan situs ini bagus, tolong dukung kami dengan membagikan postingan ini ke akun media sosial seperti Facebook, Instagram dan sebagainya atau bisa juga save halaman blog ini dengan judul bunyi hukum coulomb dan rumusnya dengan menggunakan Ctrl + D untuk perangkat laptop dengan sistem operasi Windows atau Command + D untuk laptop dengan sistem operasi Apple. Jika Anda menggunakan smartphone, Anda juga dapat menggunakan menu laci dari browser yang Anda gunakan. Baik itu sistem operasi Windows, Mac, iOS, atau Android, Anda tetap dapat menandai situs web ini.




